2025,高研院最精彩的8件事
发布时间:2026-01-13
访问量:365次
来源:山东高等技术研究院
2025年是高研院夯实发展根基的关键一年。高研院持续推进各相关实验室和学术团队建设,以开明制度推动卓越科学,坚定不移进行有组织科研,在太空粒子探测、精密测量、低温技术等领域实现重要突破。
2025年是高研院夯实发展根基的关键一年。高研院持续推进各相关实验室和学术团队建设,以开明制度推动卓越科学,坚定不移进行有组织科研,在太空粒子探测、精密测量、低温技术等领域实现重要突破。
1、宇宙线数据存储量达2590亿条,数据量全球第一高研院AMS数据中心保存了AMS实验软件、原始飞行数据和2590亿宇宙线数据,计算资源平均使用效率超过90%,存储和备份资源使用率超过70%,网络资源使用率超过90%,支撑AMS实验模拟算法运行超过26000亿次,发挥了国际公共科学数据库的重大作用。

2、完成 AMS-02 实验L0硅微条探测器整机集成
在国际空间站上AMS实验重大升级国际合作中完成硅微条探测器的研制和整机集成。通过宇宙线测试,系统验证了探测器本体、前端电子学及数据获取系统的性能与长期稳定性。为空间高能物理探测器的自主研发及国际合作积累了宝贵经验。

3、完成原初引力波望远镜焦平面90/150GHz TES探测器研制
围绕原初引力波望远镜焦平面探测器模块研发重大项目,对我国阿里CMB偏振望远镜的焦平面探测器进行自主研发,实现了双极化双频段的单像素TES探测器,其饱和功率和噪声等效功率满足90 GHz和150 GHz CMB应用需求,对原初引力波探测具有重要意义。

4、通过多关联中心图像重建技术,首次将量子超分辨显微成像速度提高20倍
通过提取多个关联中心对应的纠缠光图像,高效提取了纠缠光子的空间关联信息,并成功在实现量子超分辨显微的基础上,把其成像速度提高了20倍。这一技术攻克了量子超分辨成像速度不足的难题,大幅度提高了实用性能。

5、成功制备比表面积大于3m²/g纳米银粉烧结体
在纳米银粉的低温无压烧结及脱模工艺方面取得突破,成功制备出比表面积大于3.7m²/g的纳米银烧结体,有效解决了毫开级温区氦工质换热的难题,相关技术已达到国际先进水平。

6、完成对宇宙线锂同位素能谱精确测量,提供锂元素起源新证据
锂是太阳系当中最稀有的元素之一,测量宇宙线锂同位素对于理解宇宙的形成和早期演化具有重要意义。通过分析AMS实验所收集的97万锂-6原子核和104万锂-7原子核事例,在1.9 GV 至 25 GV的刚度范围内测量了锂同位素能谱,是迄今为止能量范围最广、精度最高的测量结果,为宇宙大爆炸理论模型提供了关键约束条件。

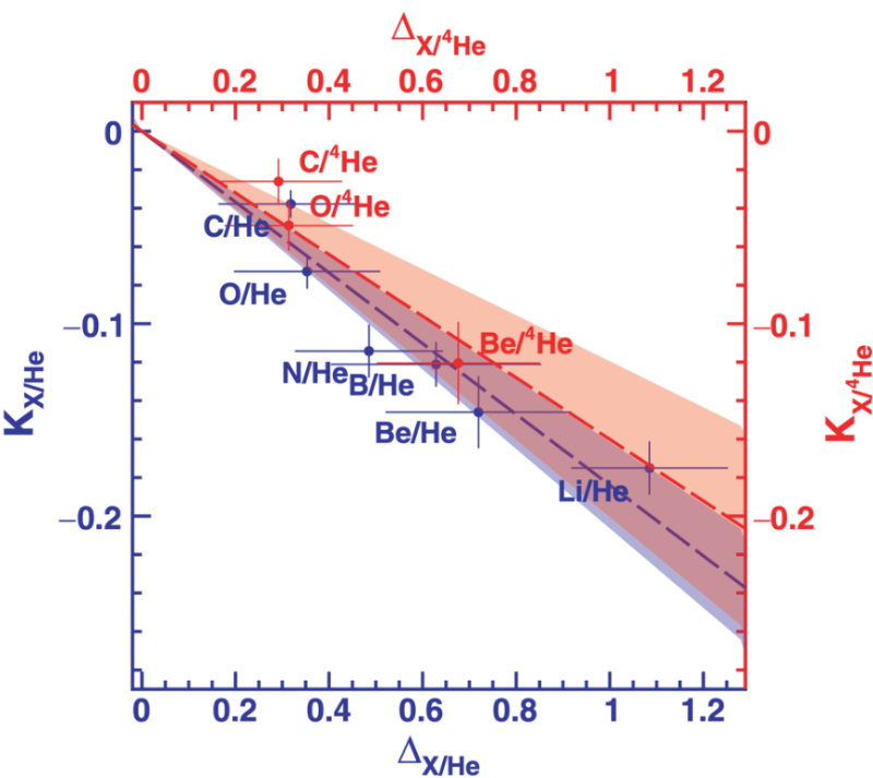
7、首次实现6种宇宙线轻原子核每天流强测量,揭示宇宙线轻原子核时变流强新特征
宇宙线中的轻原子核可以作为一种全新而独特的线索用于研究日球层内宇宙线的传播规律。基于AMS自2011年至2022年期间收集的宇宙线数据,完成了对宇宙线锂、铍、硼、碳、氮、氧等6种原子核每天流强的测量,这是全世界范围内首次对宇宙线轻原子核每天流强进行的观测,揭示了宇宙线轻原子核时变流强的许多新特征。

8、首次实现宇宙线反质子时变流强测量,更深入了解宇宙线日球层传播机制
宇宙线中的反质子极为稀少,其流强随时间变化的特征对于理解宇宙线的起源及其在日球层中的传播过程具有重要意义。基于AMS自2011年至2022年间采集的约110万个反质子事例,首次实现了对反质子时变流强的精确测量,并系统比较了反质子与另外三种电荷为“1”的基本宇宙线粒子(质子、电子和正电子)的流强演化规律,从而更深入地揭示了宇宙线在日球层中的传播机制。